融跃教育

来自:FRM > 一级 > Quantitative Analysis > Linear Regression > 0Basic Concept 2019-10-23 12:14
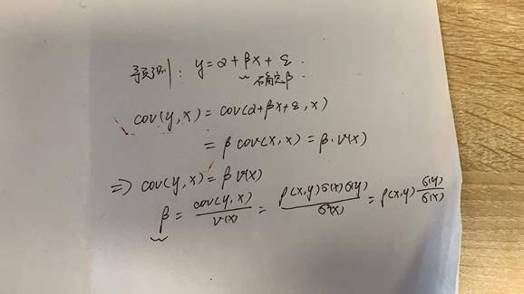
习题册book2,第126题,如何建立回归模型,可以一步步演算一下吗?
查看更多

cjmhzplzb

提问

17

上次登录

2079天前

全部回复(1)

范老师    2019-10-23 14:49

致精进的你:

126题,这个就是你首先要知道,两个变量之间可以存在一元线性回归的关系,A=α+β×B+z,最后这个z是随机项,然后目的就是把这个β找出来,有个推导过程,和CAPM里边的β是同一个道理,简单地说CAPM是基于市场回报去预测股票收益,这里是根据B收益去预测A的收益,先确定beta,然后再带数值计算

The real talent is resolute aspirations.
真正的才智是刚毅的志向。

相关课程推荐