融跃教育

来自:FRM > 一级 > Quantitative Analysis 2020-09-13 12:29
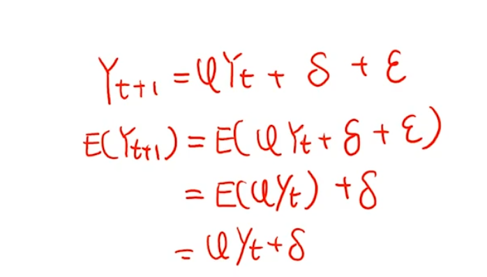
老师您好,问题如图中。
查看更多

189****6956

提问

112

上次登录

1971天前

全部回复(3)

Ben    2020-09-14 10:25

致精进的你:

同学你好,课件有误,按老师讲的来理解,截图如下

The real talent is resolute aspirations.
真正的才智是刚毅的志向。

追问12020-09-14 19:43

真的拜托你们好好审审课件好吗?我真的已经帮你们找出不下5处的错误了,不论老师讲错还是课件的内容。本来我就是0基础,还有花很多时间给你们找错误,真的很难。

回答2020-09-15 09:41

同学你好,非常理解你的心情,这边已经反馈,谢谢指正

相关课程推荐