特许金融分析师
level I level II level III
金融风险管理师
part 1 part 2
特许公认会计师
BT MA FA LW PM TX FR AA FM SBR SBL APM AFM
注册会计师
会计 审计 税法 经济法 财务成本管理 公司战略与风险管理
美国注册管理会计师
P1 P2
管理会计师
初级 中级
国际学位证书
法国尼斯大学 法国蒙彼利埃大学
职称考试课程
初级职称 中级职称
全真职场实践实习
远程PTA实训项目 菁英实训项目
全新正版图书教材
CFA FRM ACCA 注册会计师
热点资讯 考试动态 经验分享 职业发展 热点问题
热点资讯 考试动态
学习分享 考试资讯 职业前景
热点资讯 考试动态 经验分享 热点问题
CFA答疑 FRM答疑 ACCA答疑 CPA答疑 CMA答疑
登录/注册
xxxxxxxxxxxx
提问
538
上次登录
933天前
Ben 2020-07-16 16:51
致精进的你:
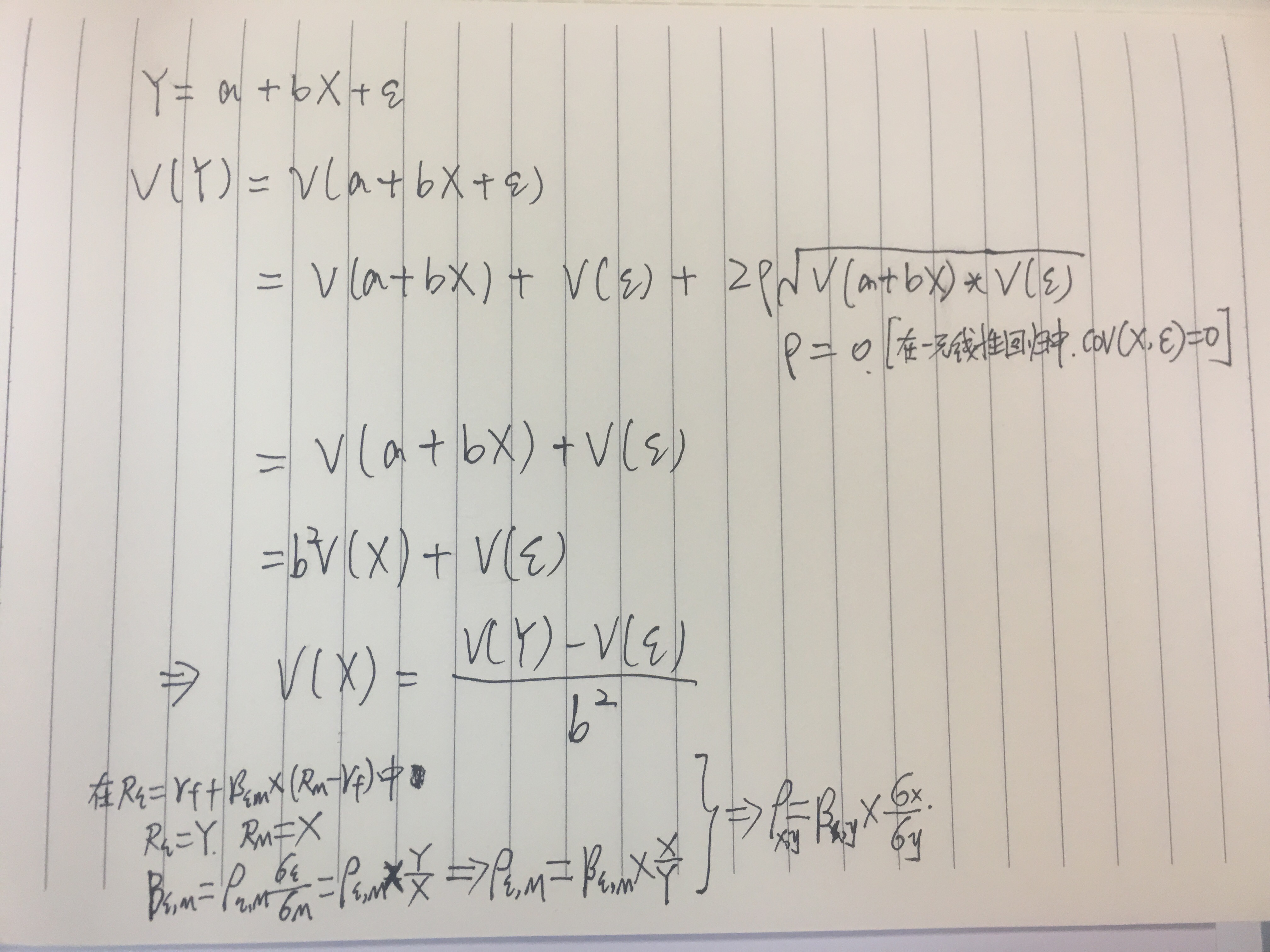
同学你好,是标准差(Standard Deviation)的意思
The real talent is resolute aspirations.真正的才智是刚毅的志向。
追问12020-07-20 20:42
那请问这题怎么才能算出答案为A? 不会用SD(e)这个条件
回答2020-07-21 09:55
主要考察方差性质和一元线性回归性质以及贝塔的计算公式,具体过程参考答案和图片。