融跃教育

来自:FRM > 一级 > Financial Markets and Products 2020-03-19 14:07
请问这题该怎么解?
查看更多

Robinson

提问

67

上次登录

869天前

全部回复(5)

范老师    2020-03-19 14:32

致精进的你:

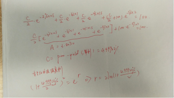
76题 这个题目解析过程可以参考下图,pay yield就是coupon和yield相等的时候 反求出来的利率;计算过程参考下图

The real talent is resolute aspirations.
真正的才智是刚毅的志向。

追问12020-03-19 17:56

我就是没看懂这题的答案,不是continuous compounded吗?为什么c要除2?

回答2020-03-20 14:39

题目给的条件都是半年利率啊,0.5年 2%,这样以此类推所以相当于是名义利率2%,半年付息一次

追问22020-03-24 09:31

为什么一开始算出的是单利yeild?

回答2020-03-24 14:05

每半年付息一次的C,不是单利是连续复利吗?

相关课程推荐