特许金融分析师
level I level II level III
金融风险管理师
part 1 part 2
特许公认会计师
BT MA FA LW PM TX FR AA FM SBR SBL APM AFM
注册会计师
会计 审计 税法 经济法 财务成本管理 公司战略与风险管理
美国注册管理会计师
P1 P2
管理会计师
初级 中级
国际学位证书
法国尼斯大学 法国蒙彼利埃大学
职称考试课程
初级职称 中级职称
全真职场实践实习
远程PTA实训项目 菁英实训项目
全新正版图书教材
CFA FRM ACCA 注册会计师
热点资讯 考试动态 经验分享 职业发展 热点问题
热点资讯 考试动态
学习分享 考试资讯 职业前景
热点资讯 考试动态 经验分享 热点问题
CFA答疑 FRM答疑 ACCA答疑 CPA答疑 CMA答疑
登录/注册
184****7290
提问
74
上次登录
76天前
Ben 2025-10-15 09:58
致精进的你:
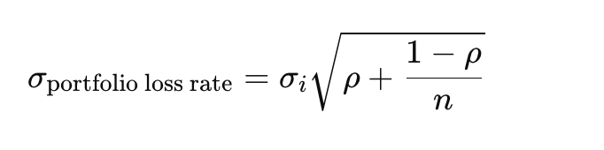
这道题计算的背景是组合中多个资产的PD、RR、相关系数都一样的情况下贷款组合损失的标准差占其规模的百分比,而不是第一个公式所对应的组合标准差,不要搞混了,具体位置参考图片
The real talent is resolute aspirations.真正的才智是刚毅的志向。