融跃教育

来自:FRM > 一级 > FRM一级机考 2023-09-02 17:07
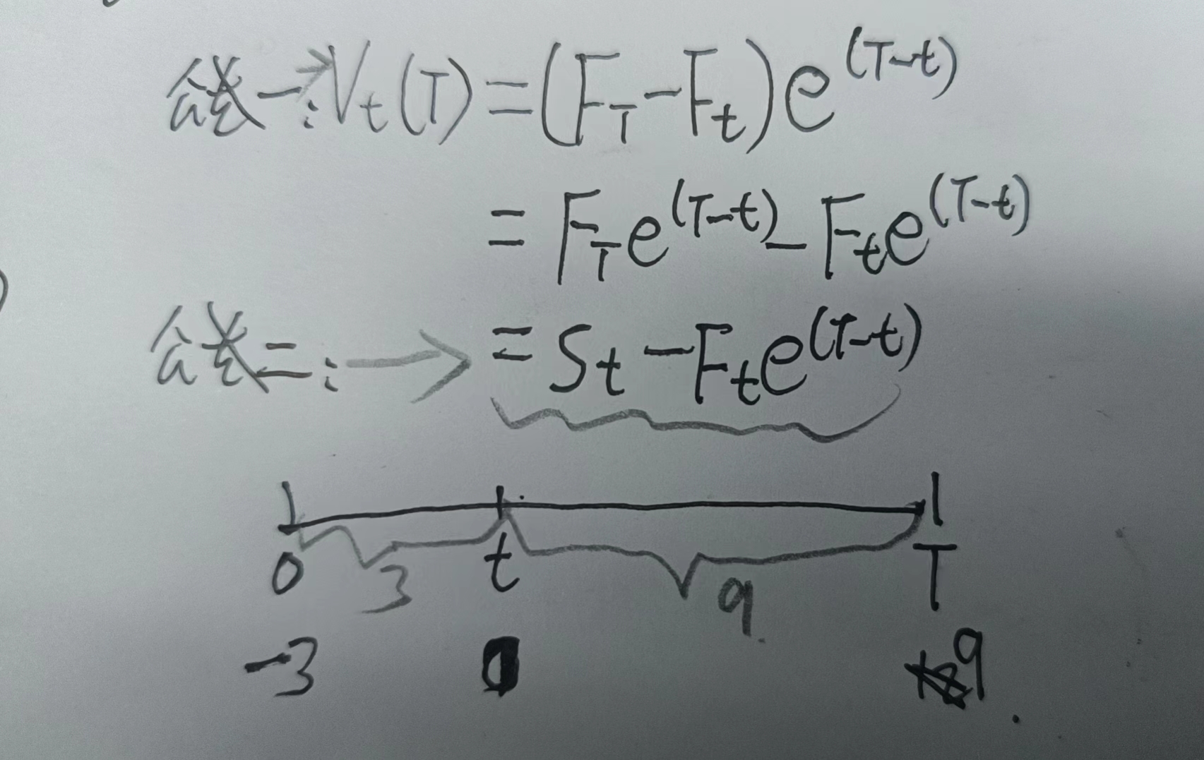
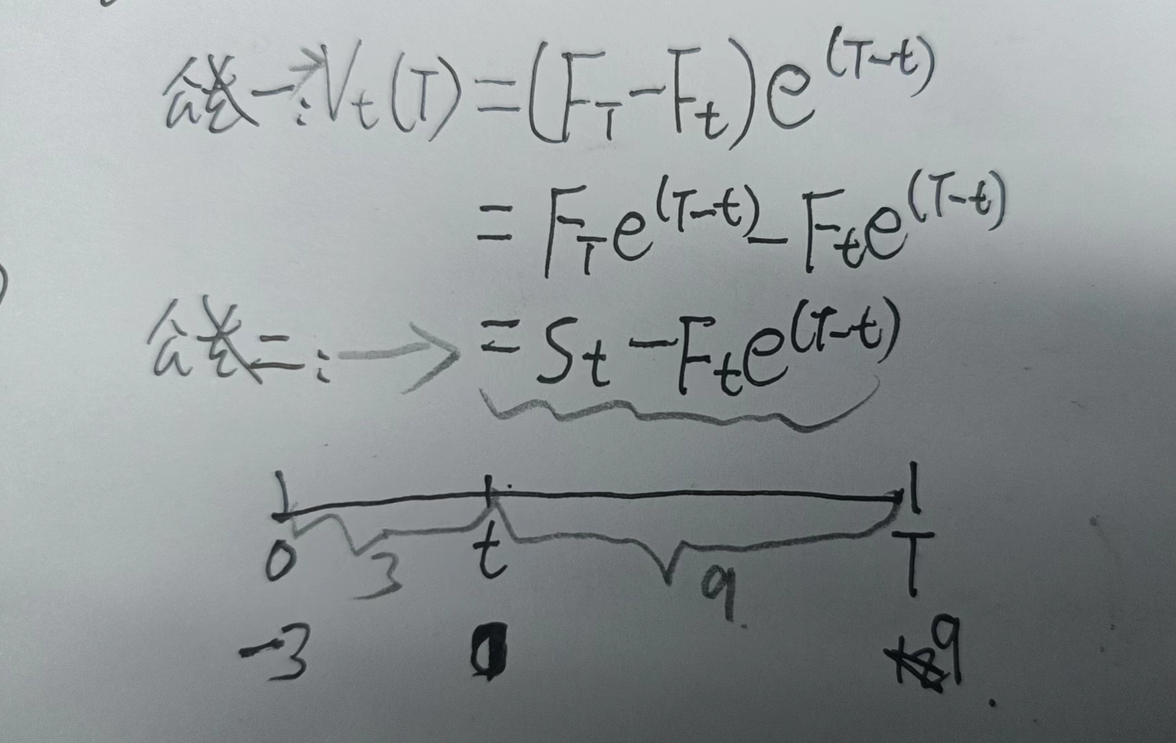
这道题这样列式子对吗老师那个时间应该是三个月吧(折现的那个)
查看更多

丛芊如

提问

382

上次登录

484天前

全部回复(3)

Ben    2023-09-04 11:07

致精进的你:

同学你好,折现的指的是把未来的现金流折现道现在,所以一定是从远期合约到期交割结算的现金流折现道现在(折现期限就是9个月)。

The real talent is resolute aspirations.
真正的才智是刚毅的志向。

追问12023-09-04 11:34

老师这个不应该是在十二个月的时候折现到九个月的时候吗?根据图片的公式

回答2023-09-04 13:44

同学你好,从剩余到期时间来看的话是T-t=9-0,从绝对时间来看的话是T-t=12-3,参考图片理解

相关课程推荐