融跃教育

来自:FRM > 一级 > 电脑版 > Unit 8.相关性分析 2023-05-08 17:29
如何理解这个问题
查看更多

176****1262

提问

9

上次登录

1033天前

全部回复(1)

Ben    2023-05-09 10:34

致精进的你:

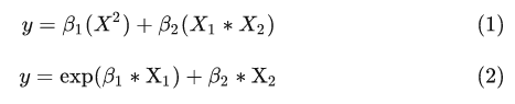
同学你好,我们所学的线性回归模型中的线性假设指的是回归系数而不是自变量。“线性”指的是各参数 β是可以以自变量作为权重进行线性相加。如果方程包含自变量的N次项,则将自变量视为一个整体来考虑。举例说明,方程(1)是“线性的”,因为自变量可以用括号括起来当做一个新变量,而分离出参数β;而方程(2)则为非“线性的”,因为自变量与参数 β1无法分离出来。方程(1)和(2)参考图片。这个点容易混淆,记住即可。

The real talent is resolute aspirations.
真正的才智是刚毅的志向。

相关课程推荐