融跃教育

来自:FRM > 一级 > 电脑版 > Unit 16.债券定价和估值 2023-04-08 20:55
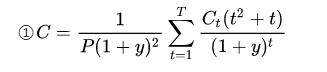
第96题 请问为什么是maturity的平方啊?我只知道convexity和maturity是正向关系,为什么这里要是平方呢?
查看更多

189****9982

提问

254

上次登录

1042天前

全部回复(1)

Ben    2023-04-10 15:11

致精进的你:

同学你好,凸度的定义式是图片一(解释了凸度与时间的平方关系),不过这个定义式不用掌握,我们需要掌握的是有效凸度的计算公式(即图片二)

The real talent is resolute aspirations.
真正的才智是刚毅的志向。

相关课程推荐