融跃教育

来自:FRM > 一级 > 电脑版 > Unit 16.债券定价和估值 2022-09-25 23:55
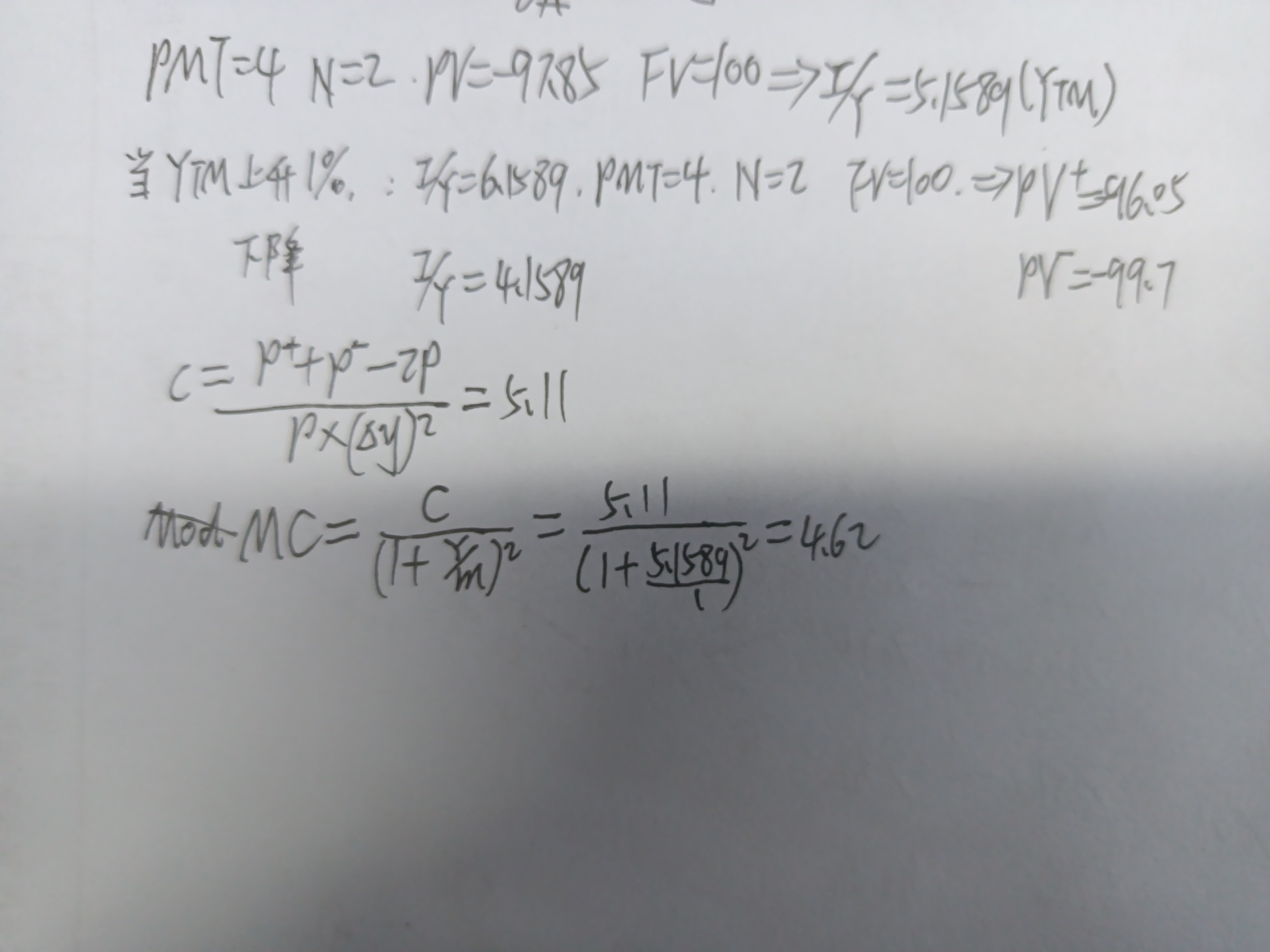
老师我不管怎么算都没有算出正确答案,老师能演示一遍计算过程吗
查看更多

邓宗磊

提问

3

上次登录

861天前

全部回复(1)

Ben    2022-09-26 11:29

致精进的你:

同学你好,参考图片理解

The real talent is resolute aspirations.
真正的才智是刚毅的志向。

相关课程推荐