融跃教育

来自:FRM > 一级 > 电脑版 > Unit 16.债券定价和估值 2021-05-10 02:10
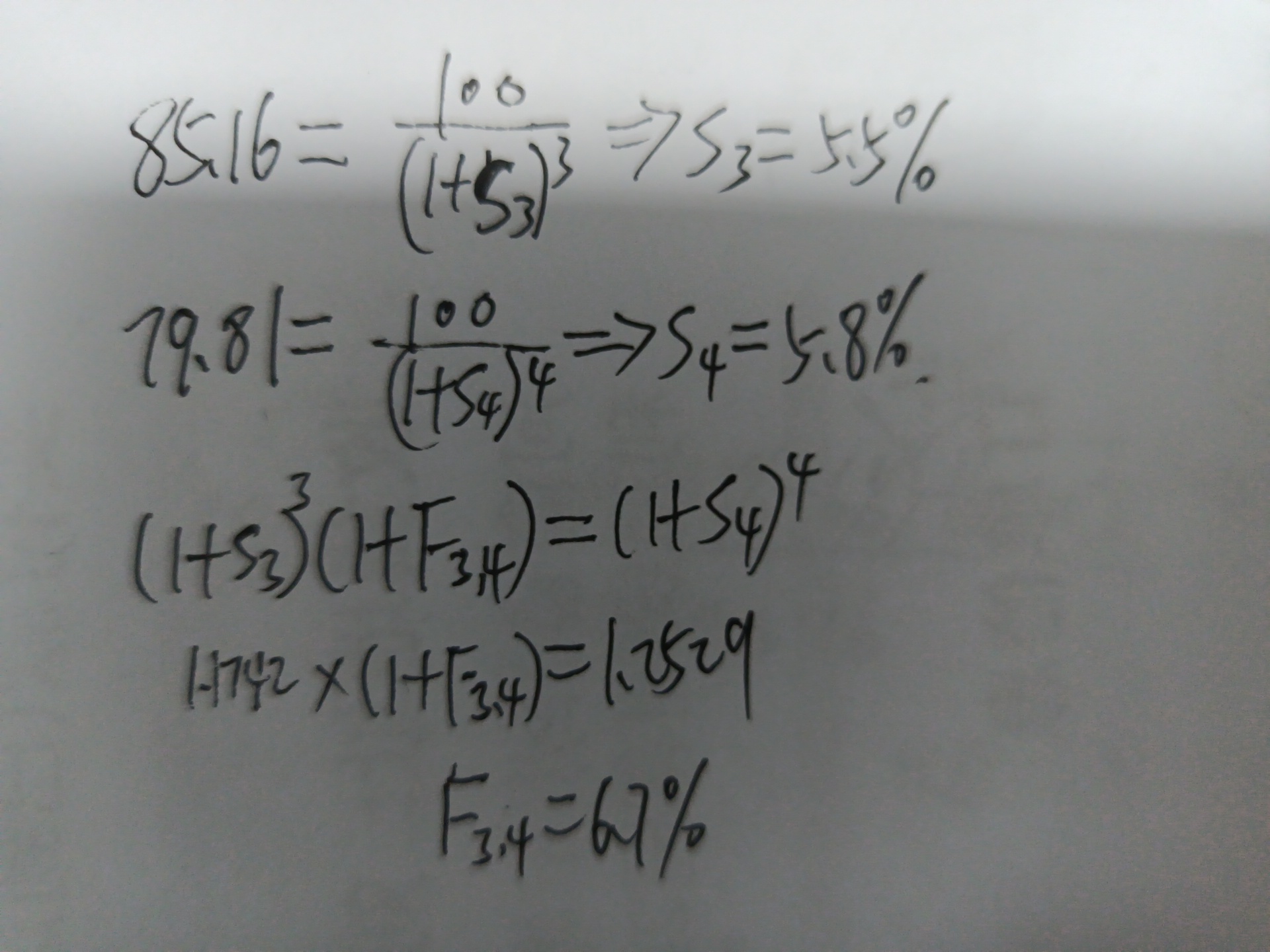
老师这题答案第一种方方法 p4 = p3(1+f), p4 = 79.81, p3 = 85.16, 带入公式1+f = 79.81/85.16 = 0.93, 再减去1 = -0.62
查看更多

匿名

提问

107

上次登录

1766天前

全部回复(1)

Ben    2021-05-10 14:39

致精进的你:

同学你好,这道题考察的是远期利率的计算,过程参考图片理解

The real talent is resolute aspirations.
真正的才智是刚毅的志向。

相关课程推荐